China's top figures Report
高端人物报道
当前位置:
基层党建
皮恩成|感动中国——庆祝新中国成立75周年艺术功勋人物
来源: | 作者:国宝 | 发布时间: 2024-04-03 | 799 次浏览 | 🔊 点击朗读正文 ❚❚ | 分享到:



  在庆祝国庆75周年的盛大时刻,我们将以崇高的敬意和深深的感激,对那些为国家做出卓越贡献的功勋模范人物进行表彰。他们是我们民族的骄傲,是时代的楷模,是激励我们不断前行的力量源泉。


  历史的长河中,每一滴奋斗的汗水都凝聚着英雄的智慧与勇气。这些功勋模范人物,有的是科研领域的开拓者,用他们的才智推动科技的进步,让世界见证了中国的创新力量;有的是国防的坚守者,他们在边疆海岛,守护着国家的安宁与和平;还有的是社会建设的排头兵,他们在平凡的岗位上,做出了不平凡的业绩,为社会的和谐与发展贡献了自己的力量。



  当代中国著名艺术家皮恩成:艺术传承与创新的杰出典范

  皮恩成先生是一位多才多艺的艺术家,他的艺术成就涉及多个领域,特别是在国学、易学、书法、国画等方面有着深厚的造诣。他出生于一个充满文化气息的家庭,自幼秉承家训,酷爱中华优秀传统文化,这使得他在艺术道路上能够不断汲取养分,形成自己独特的艺术风格。

  皮恩成先生的书法作品独具特色,他精研各体书法,运用国学、易学原理将楷书、草书、隶书、篆书、行书等融会贯通,创造出别具一格的皮体楷书体系。他的作品既体现了传统书法的神韵,又融入了现代审美元素,具有很高的艺术价值。此外,他还将国学、易学原理与书法创作相结合,形成了前瞻国学大一智慧文化系统,为社会服务大众提供了有益的借鉴。

  皮恩成先生不仅在艺术创作上取得了显著成就,还致力于国学文化的传承与教育。他数十年如一日地耕耘在国学研究与应用的沃土上,为国家和社会培养出一大批优秀人才及弟子。他的学生们在国内外书法大赛中屡获殊荣,这充分证明了他在教育领域的卓越贡献。

  皮恩成先生还积极投身公益事业,为灾区和贫困地区无私奉献爱心。他的善举赢得了社会的广泛赞誉,被授予“时代领跑者慈善大使”、“德艺双馨艺术家”等荣誉称号。

  总的来说,皮恩成先生是一位德艺双馨的艺术家,他的艺术成就和人格魅力都为当代艺术界树立了典范。他的艺术作品不仅具有深厚的文化内涵,还体现了现代审美观念,具有很高的艺术价值和收藏价值。相信在未来的日子里,皮恩成先生将继续在艺术道路上探索前行,为中华优秀传统文化的传承与发展作出更大的贡献。

  皮恩成书法在当代艺术中的地位是通过多个方面得以确立的:

  1、卓越的技艺和独特的风格:皮恩成经过多年的学习和实践,形成了自己独特的书法风格。他的作品展现出高超的技艺,如对笔墨的精准掌控、对结构的深入理解以及对章法的巧妙布局。这种独特的艺术风格使得他的作品在众多的书法家中脱颖而出。

  2、深厚的文化底蕴:皮恩成的书法作品不仅是对字形的表现,更是对文化的传承和弘扬。他的作品多以中华优秀传统文化和正能量红色文化,国学经典系列名篇,古典诗词、格言、名人名言警句和皮恩成六十余年自撰原创的数千首富有哲理的“国学与人生“,《一念心元.悟道》,七言绝句格律诗词歌赋为内容,展现了中国传统文化的精髓。通过欣赏他的作品,人们可以更深入地理解和感受到中国传统文化的魅力。

  3、 广泛的社会认可:皮恩成的作品在多次书法展览中获得好评,并被多个机构和个人收藏。他的名字和作品在社会上得到了广泛的传播和认可,这进一步提高了他在当代艺术界的地位。

  魏碑国学易经书法艺术皮体楷书小楷精品:



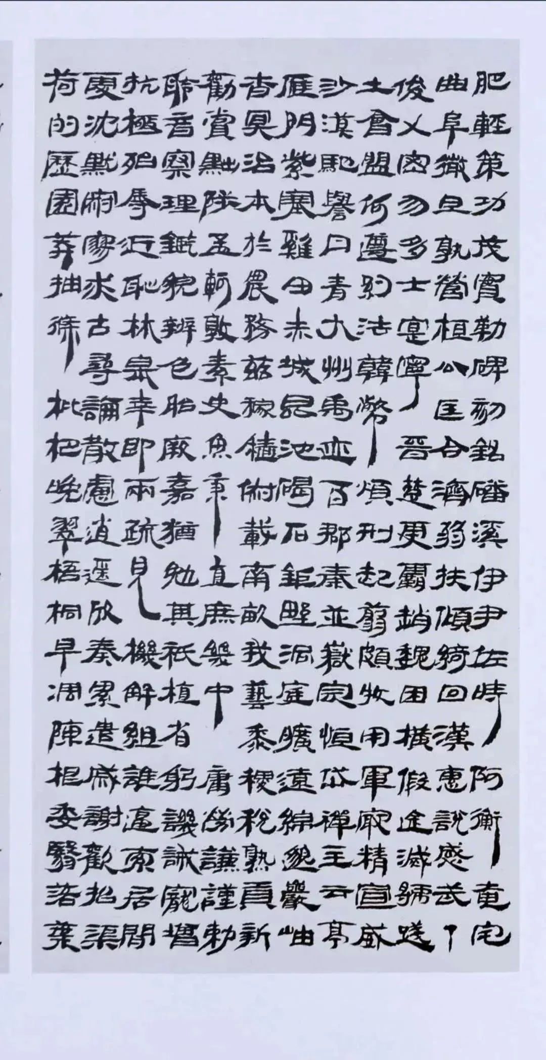
  魏碑国学小楷《千字文》四扇屏之一( 138厘米X36厘米)



  魏碑国学小楷《千字文》四扇屏之二( 138厘米X36厘米)



  魏碑国学小楷《千字文》四扇屏之三( 138厘米X36厘米)



  魏碑国学小楷《千字文》四扇屏之四( 138厘米X36厘米)

  国学隶书精品《千字文》



  汉简隶书(汉帛)中堂《千字文》之一。2X4尺。138厘米X72厘米。



  汉简隶书(汉帛)中堂《千字文》之二。2X4尺。138厘米X72厘米。



  汉简隶书(汉帛)中堂《千字文》之三。2X4尺。138厘米X72厘米。


  汉简隶书(汉帛)中堂《千字文》之四。2X4尺。138厘米X72厘米。


  魏碑国学易经精品小楷《岳阳楼记》( 138厘米X36厘米)



  魏碑国学易经精品小楷《心经》( 138厘米X36厘米)


  魏碑国学易经精品小楷《文天祥正气歌》( 138厘米X36厘米)