2024年中欧书画名家国际艺术线上交流展——杜灼山


杜灼山,男,土家族,笔名:湘细龙。1953年11月生,原籍湖南省张家界市慈利县,中共党员,毕业于中国书法函授学院(本科)。隶属于中国铁路建筑总公司十八局集团第五工程有限公司退休干部。
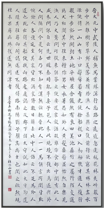
现为中国书法家协会会员,一级美术师,中国硬笔书法家协会会员,中国函授书法学院客座教授,东方艺苑特聘书画师,中国香港国际艺术家协会会员。喜爱书法、国画和诗词等中国传统文化。
作品先后入选《盛世中华·中国书画名家大辞典》、《中国书画家精品集》、《世界文化艺术人物志》、《中国文化人物年鉴》、《中国新时代文艺作品宝库》、《中国当代艺术人物名典》、《2020世界文化艺术人物志》以及《盛世中国传承经典》等五十多部作品集,部分作品在“世纪百家"、“诗书画家”和所在单位等官方网站及其他媒体推介。漫 画、扦图和论文作品在国家《施工企业管理》专刊多期发表。共荣获书法、美术、诗词、论文等各类奖项60余次,被世纪百家国际文化发展中心推介为“中国当代文化名家”,出版了《诗、书、画个人专集》,2020年再次被推介为“新中国71周年71位文艺名家作品展”国庆画刊并出版个人专刊。 近两年来,古体诗词在《中国诗文书画家名作金榜集》和“2022年‘风雅杯’新时代诗词美文笔会”评选中分别荣获特等奖、一等奖;书法作品在甄选《中国作家书画家代表作全集》和“第九届‘相约北京全国文学艺术大赛”中先后荣获特等奖和一等奖。此外,在“中国书画家百杰”评选活动中被授予“2023中国书画家百杰”称号。

Du Zhuoshan, male, of the Tujia ethnic group, pen name: Xiang Xilong. Born in November 1953, originally from Cili County, Zhangjiajie City, Hunan Province, he is a member of the Communist Party of China and graduated from the Correspondence College of Chinese Calligraphy (undergraduate). Retired cadre under the Fifth Engineering Co., Ltd. of the 18th Bureau Group of China Railway Construction Corporation.

I am currently a member of the China Calligraphers Association, a first-class artist, a member of the China Hard Pen Calligraphers Association, a visiting professor at the China Correspondence Calligraphy Institute, a specially appointed calligrapher and painter at the Oriental Art Garden, and a member of the Hong Kong International Artists Association. I love traditional Chinese culture such as calligraphy, traditional Chinese painting, and poetry.

The works have been selected in more than 50 collections, including the "Dictionary of Famous Chinese Calligraphers and Painters in the Prosperous Era", "Collection of Fine Chinese Calligraphers and Painters", "World Cultural and Artistic Figures Chronicle", "Yearbook of Chinese Cultural Figures", "Treasure of Literary and Artistic Works in the New Era of China", "Dictionary of Contemporary Art Figures in China", "2020 World Cultural and Artistic Figures Chronicle", and "Classic Inheritance in the Prosperous Era of China". Some works have been promoted on official websites such as "Century Hundred", "Poetry and Calligraphy Painters", and their affiliated units, as well as other media. Comics, illustrations, and paper works have been published in multiple issues of the national special issue of "Construction Enterprise Management". They have won more than 60 awards in calligraphy, art, poetry, and paper, among Promoted by the Century Hundred International Cultural Development Centers as a "Chinese Contemporary Cultural Master" and published a personal collection of poems, books, and paintings. In 2020, it was once again promoted as the "71st Anniversary Exhibition of Literary and Artistic Masters in New China" National Day Painting Magazine and published a personal special issue. In the past two years, ancient Chinese poetry has won special and first prizes in the "Golden List of Chinese Poetry, Literature, Calligraphy, and Painting Masters" and the "2022 'Fengya Cup' New Era Poetry, Literature, and Art Pen Club" respectively; Calligraphy works have won special and first prizes in the selection of representative works of Chinese writers, calligraphers, and painters, as well as in the 9th Beijing National Literature and Art Competition. In addition, he was awarded the title of "2023 Top 100 Chinese Calligraphers and Painters" in the "Top 100 Chinese Calligraphers and Painters" selection activity.







