
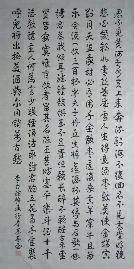
跨越海峡的书画情港澳台书画作品大展,对于推动港澳台地区书画艺术的发展具有重要意义。它不仅能够为书画家们提供一个展示和交流的平台,促进彼此之间的学习与借鉴,还能够增进三地之间的文化认同和友谊。同时,通过线上展览的举办,也能够让更多的人了解和欣赏到港澳台地区的书画艺术,推动中华文化的传承与发扬。 唐基善,又名唐智善,男,汉族,1950年生,湖南省嘉禾县人。书法和诗词有高度的艺术成就,有独特的艺术风格,在国内外艺术界有良好的影响。被联合国科教文组织和中国书法家协会等200多个单位称赞为取得了卓越成就,为中国及世界文化艺术事业作出了杰出贡献的艺术家。获联合国艺术终身成就奖和非遗贡献奖及秘书长安东尼奥·古特雷斯的感谢信,并授予联合国文化艺术勋章和非遗传承人荣誉勋章等荣誉称号。获第七届中国文化艺术节最高奖·终身成就奖。艺术业绩被人民日报欧洲网、人民网、腾讯、百度、今日头条、央视网等50多家媒体专题报道。16幅书法作品彩印景德镇国礼艺术瓷。出版发行《东方之子》唐基善卷、《中国当代杰出书画大师》唐基善卷、《感动世界艺术巨匠》唐基善卷等个人诗书专著。艺术传略和书法作品2017年至2023年连续7年入编官方贺岁年历出版发行。湖南省嘉禾县信访局退休干部,中国书法家协会会员,北京大学书画艺术研究院客座教授和台北故宫书画院终身客座教授,中国书画学会名誉主席,世界艺术学会终身常务委员兼艺术顾问,世界科教文组织首席艺术家,国际中华诗词研究会终身名誉会长,意大利罗马美术学院名誉院长、艺术类书画荣誉博士,英国皇家艺术研究院终身首席艺术家兼高级顾问,美国大学协会终身荣誉会长。在工作中曾12次获县级以上立功授奖。诗书等作品在国内外大赛中获奖或授予“联合国重点推荐艺术名家”、“世界艺术功勋人物”、“中国文艺脊梁人物”、“国宝艺术家”等各种荣誉称号200多次,在美国等10多个国家或地区展出,被联合国教科文组织、中国国家图书馆、中国国家博物馆、中国艺术博物馆、大英图书馆、法国国家图书馆、美国国会图书馆等100多个单位收藏。个人艺术传略或诗书等作品入编《国魂泰斗》、《国之巨匠》、《大国大家》、《国学大家名帖》、《中国艺术十大巨头》、《世界艺术瑰宝》、《世界文化名人录》、《世界艺坛大师》等118部书。 Tang Jishan, also known as Tang Zhishan, male, Han ethnicity, was born in 1950 in Jiahe County, Hunan Province. Calligraphy and poetry have high artistic achievements, unique artistic styles, and have a good influence in the domestic and foreign art circles. He has been praised by more than 200 organizations, including the United Nations Educational, Scientific and Cultural Organization and the Chinese Calligraphers Association, as an artist who has achieved outstanding achievements and made outstanding contributions to the cultural and artistic undertakings of China and the world. Received the United Nations Lifetime Achievement Award and Intangible Cultural Heritage Contribution Award, as well as a thank-you letter from Secretary General Antonio Guterres, and was awarded honorary titles such as the United Nations Cultural and Art Medal and the Intangible Cultural Heritage Inheritor Honorary Medal. Received the highest award, Lifetime Achievement Award, at the 7th China Cultural and Art Festival. The artistic performance has been featured by more than 50 media outlets, including People's Daily Europe, People's Daily, Tencent, Baidu, Today's Headlines, and CCTV. 16 calligraphy works are color printed on Jingdezhen National Ritual Art Porcelain. Published and distributed personal poetry and book monographs such as "The Son of the East" by Tang Jishan, "Outstanding Contemporary Chinese Calligraphy and Painting Masters" by Tang Jishan, and "Touching the World's Art Giants" by Tang Jishan. Art biographies and calligraphy works have been included in the official Chinese New Year calendar for 7 consecutive years from 2017 to 2023. Retired cadre of the Letters and Visits Bureau in Jiahe County, Hunan Province, member of the Chinese Calligraphers Association, visiting professor at the Calligraphy and Painting Art Research Institute of Peking University, and lifelong visiting professor at the Taipei Palace Museum Calligraphy and Painting Institute. Honorary Chairman of the Chinese Calligraphy and Painting Society, Lifetime Executive Member and Art Advisor of the World Art Society, Chief Artist of the World Organization for Science and Education, Lifetime Honorary President of the International Chinese Poetry Research Association, Honorary Dean of the Rome Academy of Fine Arts in Italy, Honorary Doctorate in Art Calligraphy and Painting, Lifetime Chief Artist and Senior Advisor of the Royal Academy of Arts in the United Kingdom, and Lifetime Honorary President of the American. I have been awarded meritorious service awards at or above the county level 12 times in my work. Poetry and other works have won awards or been awarded various honorary titles such as "UN Key Recommended Art Masters", "World Art Meritorious Figures", "Chinese Literary Backbone Figures", "National Treasure Artists", etc. in domestic and international competitions for over 200 times. They have been exhibited in more than 10 countries or regions, including the United States, and have been collected by more than 100 units including UNESCO, the National Library of China, the National Museum of China, the Chinese Art Museum, the British Library, the National Library of France, and the Library of Congress. Personal art biographies, poetry, and other works have been included in 118 books, including "The Soul of the Nation", "The Great Master of the Nation", "The Great Masters of the Nation", "Famous Calligraphy of National Studies", "Top Ten Giants of Chinese Art", "World Art Treasures", "World Cultural Celebrities", "World Art Masters", etc. 李白诗巜将进酒》,四尺整宣竖写 自撰诗《南岳有感》,四尺整宣竖写 自撰诗巜深山小庄》,四尺整宣竖写 自撰诗巜读书好》,四尺整宣竖写 苏轼词巜江城子、密州出猎》,四尺整宣竖写 辛弃疾词《青玉案、元夕》,四尺整宣竖写 辛弃疾词巜永遇乐》,四尺整宣坚写 楊慎词《临江仙》,四尺整宣竖写 苏轼词《念奴娇、赤壁怀古》,四尺整宣竖写 自撰词《念奴娇、读李白诗》,四尺整宣竖写 自撰诗《读书重思考》,四尺整宣竖写 苏轼词《水调歌头》,四尺整宣竖写












